The derivative of a log function is a fundamental concept in calculus, and it has numerous applications in various fields, including mathematics, physics, engineering, and economics. In this article, we will delve into the world of logarithmic functions, explore their derivatives, and examine the practical implications of these mathematical concepts.
To begin with, let's define what a logarithmic function is. A logarithmic function is the inverse of an exponential function, and it is typically denoted as log(x) or ln(x). The logarithm of a number x is the power to which a base number must be raised to produce x. For example, log2(8) = 3, because 2^3 = 8. The natural logarithm, denoted as ln(x), is a special type of logarithm where the base is the mathematical constant e, approximately equal to 2.71828.
Key Points
- The derivative of a log function is used to determine the rate of change of the function.
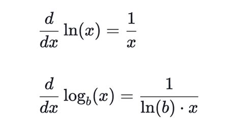
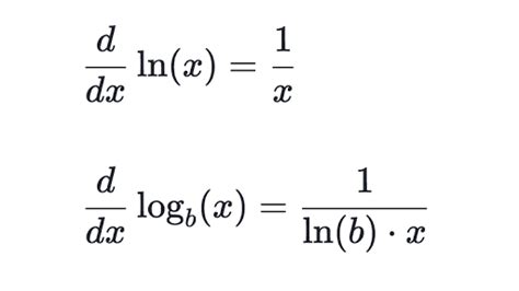
- The derivative of ln(x) is 1/x, which is a fundamental concept in calculus.
- The derivative of log(x) with a base other than e is 1/(x \* ln(a)), where a is the base.
- Logarithmic functions have numerous applications in mathematics, physics, engineering, and economics.
- The derivative of a log function is used in optimization problems, such as finding the maximum or minimum of a function.
Derivative of a Log Function

The derivative of a log function is a measure of how the function changes as its input changes. In other words, it is a measure of the rate of change of the function. The derivative of ln(x) is 1/x, which is a fundamental concept in calculus. This result can be derived using the definition of a derivative and the properties of logarithms.
Derivative of ln(x)
To derive the derivative of ln(x), we can start with the definition of a derivative: f’(x) = lim(h → 0) [f(x + h) - f(x)]/h. Using this definition, we can derive the derivative of ln(x) as follows:
f'(x) = lim(h → 0) [ln(x + h) - ln(x)]/h
Using the properties of logarithms, we can rewrite this expression as:
f'(x) = lim(h → 0) [ln((x + h)/x)]/h
Using the fact that ln(a/b) = ln(a) - ln(b), we can rewrite this expression as:
f'(x) = lim(h → 0) [ln(x + h) - ln(x)]/h
Using the definition of a derivative, we can simplify this expression to:
f'(x) = 1/x
This result shows that the derivative of ln(x) is 1/x, which is a fundamental concept in calculus.
Derivative of log(x) with a Base Other Than e
The derivative of log(x) with a base other than e is 1/(x * ln(a)), where a is the base. This result can be derived using the change of base formula for logarithms: loga(x) = ln(x)/ln(a). Using this formula, we can derive the derivative of log(x) with a base other than e as follows:
f'(x) = lim(h → 0) [loga(x + h) - loga(x)]/h
Using the change of base formula, we can rewrite this expression as:
f'(x) = lim(h → 0) [ln(x + h)/ln(a) - ln(x)/ln(a)]/h
Using the properties of logarithms, we can rewrite this expression as:
f'(x) = lim(h → 0) [ln(x + h) - ln(x)]/(h \* ln(a))
Using the definition of a derivative, we can simplify this expression to:
f'(x) = 1/(x \* ln(a))
This result shows that the derivative of log(x) with a base other than e is 1/(x \* ln(a)), where a is the base.
| Function | Derivative |
|---|---|
| ln(x) | 1/x |
| loga(x) | 1/(x \* ln(a)) |

Applications of Logarithmic Functions

Logarithmic functions have numerous applications in mathematics, physics, engineering, and economics. One of the most common applications is in optimization problems, such as finding the maximum or minimum of a function. Logarithmic functions are also used in physics to model the behavior of complex systems, such as the growth of populations or the decay of radioactive materials.
Optimization Problems
Logarithmic functions are used to solve optimization problems, such as finding the maximum or minimum of a function. For example, consider a company that wants to maximize its profit, which is a function of the number of units produced and sold. The profit function can be modeled using a logarithmic function, and the derivative of the function can be used to find the maximum profit.
Physics Applications
Logarithmic functions are used in physics to model the behavior of complex systems, such as the growth of populations or the decay of radioactive materials. For example, the population growth of a species can be modeled using a logarithmic function, where the population size is a function of time. The derivative of the function can be used to find the rate of change of the population size, which is an important concept in ecology and conservation biology.
What is the derivative of a log function?
+The derivative of a log function is used to determine the rate of change of the function. The derivative of ln(x) is 1/x, and the derivative of log(x) with a base other than e is 1/(x \* ln(a)), where a is the base.
What are the applications of logarithmic functions?
+Logarithmic functions have numerous applications in mathematics, physics, engineering, and economics. They are used to solve optimization problems, such as finding the maximum or minimum of a function, and to model the behavior of complex systems, such as the growth of populations or the decay of radioactive materials.
How are logarithmic functions used in physics?
+Logarithmic functions are used in physics to model the behavior of complex systems, such as the growth of populations or the decay of radioactive materials. They are also used to solve optimization problems, such as finding the maximum or minimum of a function.
In conclusion, the derivative of a log function is a fundamental concept in calculus, and it has numerous applications in mathematics, physics, engineering, and economics. The derivative of ln(x) is 1/x, and the derivative of log(x) with a base other than e is 1/(x * ln(a)), where a is the base. Logarithmic functions are used to solve optimization problems, such as finding the maximum or minimum of a function, and to model the behavior of complex systems, such as the growth of populations or the decay of radioactive materials.