Integral calculus, a fundamental branch of mathematics, deals with the study of continuous change. It has numerous applications in various fields, including physics, engineering, and economics. One of the key concepts in integral calculus is the integral sine, which represents the antiderivative of the sine function. In this article, we will delve into five ways integral sine is utilized in different mathematical and real-world contexts.
Introduction to Integral Sine

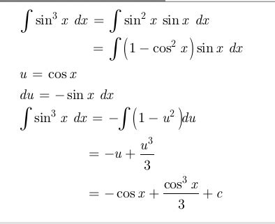
The integral sine, denoted as ∫sin(x)dx, is a basic antiderivative in calculus. It is defined as -cos(x) + C, where C is the constant of integration. This concept is crucial in solving various mathematical problems, particularly in the fields of physics and engineering. For instance, in physics, the integral sine is used to describe the motion of objects under the influence of periodic forces.
Key Points
- The integral sine is a fundamental concept in calculus, representing the antiderivative of the sine function.
- It has numerous applications in physics, engineering, and economics, particularly in describing periodic phenomena.
- The integral sine is utilized in signal processing, electrical engineering, and mechanical engineering.
- It plays a crucial role in the study of oscillations, waves, and vibrations.
- The concept of integral sine is also applied in computer science and data analysis.
Applications in Physics and Engineering
The integral sine has numerous applications in physics and engineering, particularly in describing the motion of objects under periodic forces. For example, in the study of simple harmonic motion, the integral sine is used to derive the equation of motion. This equation is essential in understanding the behavior of objects such as pendulums, springs, and vibrating strings. Additionally, the integral sine is applied in the analysis of electrical circuits, particularly in the study of AC circuits.
| Field of Application | Description |
|---|---|
| Physics | Describing the motion of objects under periodic forces, such as simple harmonic motion. |
| Engineering | Analyzing electrical circuits, particularly AC circuits, and designing mechanical systems. |
| Signal Processing | Filtering and modifying signals to extract relevant information. |

Signal Processing and Electrical Engineering

In signal processing and electrical engineering, the integral sine is used to filter and modify signals. This is particularly useful in extracting relevant information from signals and removing noise. The integral sine is also applied in the design of filters, such as low-pass and high-pass filters, which are essential in audio processing and communication systems.
Mechanical Engineering and Computer Science
The integral sine has significant applications in mechanical engineering, particularly in the study of oscillations, waves, and vibrations. It is used to analyze the behavior of mechanical systems, such as gears, springs, and dampers. Additionally, the concept of integral sine is applied in computer science, particularly in data analysis and machine learning. It is used to model and analyze complex systems, such as population growth and financial markets.
What is the integral sine, and how is it defined?
+The integral sine, denoted as ∫sin(x)dx, is a basic antiderivative in calculus. It is defined as -cos(x) + C, where C is the constant of integration.
What are some of the key applications of the integral sine?
+The integral sine has numerous applications in physics, engineering, and economics, particularly in describing periodic phenomena. It is used in signal processing, electrical engineering, mechanical engineering, and computer science.
How is the integral sine used in signal processing and electrical engineering?
+In signal processing and electrical engineering, the integral sine is used to filter and modify signals. It is applied in the design of filters, such as low-pass and high-pass filters, which are essential in audio processing and communication systems.
In conclusion, the integral sine is a fundamental concept in calculus with numerous applications in physics, engineering, and economics. Its applications in signal processing, electrical engineering, mechanical engineering, and computer science are particularly significant. By understanding the concept of integral sine, professionals in these fields can develop innovative solutions to real-world problems and make significant contributions to their respective fields.