The Poisson formula, a cornerstone of probability theory, is used to calculate the probability of events occurring within a fixed interval of time or space, where these events occur with a known constant mean rate and independently of the time since the last event. This formula is pivotal in various fields, including finance, engineering, and biology, for predicting the number of events that will occur. In this article, we will delve into the nuances of the Poisson formula, exploring its application, interpretation, and five essential tips for its effective use.
Key Points
- Understanding the Poisson Distribution: Recognizing the conditions under which the Poisson distribution applies, such as a fixed interval, constant average rate, and independence of events.
- Applying the Poisson Formula: Using the formula P(X = k) = (e^(-λ) * (λ^k)) / k! correctly, where λ is the average rate of events, k is the number of events, and e is the base of the natural logarithm.
- Interpreting Results: Understanding that the result of the Poisson formula gives the probability of exactly k events occurring, and being able to interpret this in the context of the problem at hand.
- Calculating Cumulative Probabilities: Knowing how to calculate the probability of at most k events or at least k events, which involves summing the probabilities of all relevant outcomes.
- Assessing Model Fit: Recognizing the importance of checking if the assumptions of the Poisson distribution are met in the data, such as the variance being equal to the mean, to ensure the model is appropriately applied.
Understanding the Poisson Distribution

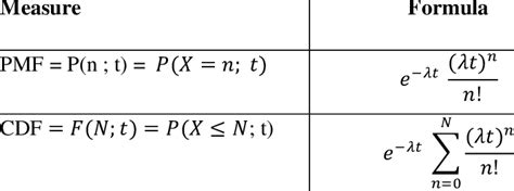
The Poisson distribution is a discrete distribution that models the number of events occurring in a fixed interval of time or space, where these events occur with a known constant average rate. It is characterized by a single parameter, λ (lambda), which represents the average rate of events. For instance, if we are modeling the number of phone calls received by a call center per hour, λ would be the average number of calls received in an hour. The formula for the Poisson distribution is P(X = k) = (e^(-λ) * (λ^k)) / k!, where k is the number of events, and e is the base of the natural logarithm. This formula calculates the probability of exactly k events occurring.
Applying the Poisson Formula
To apply the Poisson formula effectively, one must first ensure that the conditions for using the Poisson distribution are met. These include having a fixed interval, a constant average rate of events, and independence of events. Once these conditions are confirmed, the formula can be applied directly. For example, if the average number of cars passing through a certain intersection per minute is 5, and we want to find the probability that exactly 3 cars pass through in a given minute, we would use the formula with λ = 5 and k = 3.
| Parameter | Value |
|---|---|
| λ (Average rate of events) | 5 |
| k (Number of events) | 3 |
| e (Base of the natural logarithm) | approximately 2.718 |

Interpreting Results and Calculating Cumulative Probabilities

After applying the Poisson formula, it is crucial to interpret the results correctly. The formula gives the probability of exactly k events occurring. However, in many scenarios, we are interested in the probability of at most k events or at least k events. This requires calculating cumulative probabilities, which involves summing the probabilities of all relevant outcomes. For instance, to find the probability of at most 3 cars passing through the intersection, we would need to calculate the probabilities of 0, 1, 2, and 3 cars passing through and then sum these probabilities.
Assessing Model Fit
An often-overlooked step in applying the Poisson distribution is assessing whether the model fits the data. A key assumption of the Poisson distribution is that the variance of the number of events is equal to the mean. If this assumption is violated, the Poisson model may not be appropriate. For example, if the data exhibit overdispersion (variance greater than the mean), a different model such as the negative binomial distribution might be more suitable. Therefore, it is essential to check the assumptions of the Poisson distribution before drawing conclusions from the model.
What is the main application of the Poisson formula?
+The main application of the Poisson formula is to calculate the probability of events occurring within a fixed interval of time or space, where these events occur with a known constant mean rate and independently of the time since the last event.
How do I calculate cumulative probabilities using the Poisson formula?
+To calculate cumulative probabilities, you need to sum the probabilities of all relevant outcomes. For example, to find the probability of at most k events, you sum the probabilities of 0, 1, 2,..., k events.
What are the assumptions of the Poisson distribution that need to be checked?
+The assumptions include a fixed interval, a constant average rate of events, independence of events, and that the variance of the number of events is equal to the mean.
In conclusion, the Poisson formula is a powerful tool for modeling and analyzing the occurrence of events in various fields. By understanding the conditions under which it applies, applying the formula correctly, interpreting results appropriately, calculating cumulative probabilities, and assessing model fit, practitioners can effectively utilize the Poisson distribution to make informed predictions and decisions. Whether in finance, engineering, or any other domain where events occur randomly, mastering the Poisson formula and its applications is essential for advancing knowledge and practice.