Trigonometry, a branch of mathematics that deals with the relationships between the sides and angles of triangles, is a fundamental concept in various fields, including physics, engineering, and navigation. Among the numerous trigonometric identities, sum and difference identities are crucial for simplifying complex expressions and solving problems. In this article, we will delve into the world of sum and difference identities, exploring their significance, formulas, and applications, as well as providing examples and exercises to help solidify understanding.
Key Points
- Sum and difference identities are essential for simplifying trigonometric expressions and solving problems.
- The sum and difference formulas for sine, cosine, and tangent are used to find the trigonometric functions of the sum or difference of two angles.
- These identities have numerous applications in physics, engineering, and navigation, including the calculation of wave patterns, electric currents, and distances.
- Mastering sum and difference identities is crucial for solving problems in trigonometry and other areas of mathematics and science.
- Practicing exercises and problems is essential to develop a deep understanding of these identities and their applications.
Introduction to Sum and Difference Identities

Sum and difference identities are used to find the trigonometric functions of the sum or difference of two angles. These identities are derived from the angle addition and subtraction formulas, which are used to calculate the sine, cosine, and tangent of the sum or difference of two angles. The sum and difference formulas for sine, cosine, and tangent are as follows:
sin(A + B) = sin(A)cos(B) + cos(A)sin(B)
sin(A - B) = sin(A)cos(B) - cos(A)sin(B)
cos(A + B) = cos(A)cos(B) - sin(A)sin(B)
cos(A - B) = cos(A)cos(B) + sin(A)sin(B)
tan(A + B) = (tan(A) + tan(B)) / (1 - tan(A)tan(B))
tan(A - B) = (tan(A) - tan(B)) / (1 + tan(A)tan(B))
Derivation of Sum and Difference Formulas
The derivation of the sum and difference formulas involves using the angle addition and subtraction formulas, which are based on the properties of right triangles. By using the definitions of sine, cosine, and tangent, we can derive the sum and difference formulas for these trigonometric functions.
For example, to derive the sum formula for sine, we can use the following steps:
1. Draw a diagram of two angles, A and B, and their corresponding right triangles.
2. Use the definitions of sine, cosine, and tangent to express sin(A + B) in terms of the ratios of the sides of the triangles.
3. Simplify the expression to obtain the sum formula for sine: sin(A + B) = sin(A)cos(B) + cos(A)sin(B)
Applications of Sum and Difference Identities

Sum and difference identities have numerous applications in physics, engineering, and navigation. For example, in physics, these identities are used to calculate the wave patterns of light and sound, as well as the electric currents in circuits. In engineering, sum and difference identities are used to design and optimize systems, such as bridges and buildings, to withstand external forces and stresses.
In navigation, sum and difference identities are used to calculate distances and directions between two points on the Earth's surface. By using the sum and difference formulas for sine, cosine, and tangent, navigators can determine the distance and direction between two points, taking into account the Earth's curvature and the angles between the points.
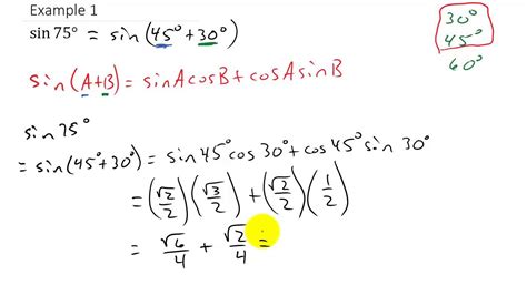
Example Problems and Solutions
To illustrate the application of sum and difference identities, let’s consider the following example problem:
Find the value of sin(45° + 30°) using the sum formula for sine.
Solution:
sin(45° + 30°) = sin(45°)cos(30°) + cos(45°)sin(30°)
= (1/√2)(√3/2) + (1/√2)(1/2)
= (√3 + 1) / 2√2
This example demonstrates how to use the sum formula for sine to find the value of sin(45° + 30°).
| Trigonometric Function | Sum Formula | Difference Formula |
|---|---|---|
| Sine | sin(A + B) = sin(A)cos(B) + cos(A)sin(B) | sin(A - B) = sin(A)cos(B) - cos(A)sin(B) |
| Cosine | cos(A + B) = cos(A)cos(B) - sin(A)sin(B) | cos(A - B) = cos(A)cos(B) + sin(A)sin(B) |
| Tangent | tan(A + B) = (tan(A) + tan(B)) / (1 - tan(A)tan(B)) | tan(A - B) = (tan(A) - tan(B)) / (1 + tan(A)tan(B)) |

Conclusion and Future Directions
In conclusion, sum and difference identities are essential tools for simplifying complex trigonometric expressions and solving problems in physics, engineering, and navigation. By understanding and applying these identities, students can develop a deeper appreciation for the beauty and power of mathematics, as well as improve their problem-solving skills and analytical thinking.
Future directions for research and application of sum and difference identities include the development of new mathematical models and algorithms for solving complex problems in physics, engineering, and other fields. Additionally, the application of sum and difference identities to real-world problems, such as the calculation of wave patterns and electric currents, can lead to new insights and innovations in these fields.
What are the sum and difference formulas for sine, cosine, and tangent?
+The sum and difference formulas for sine, cosine, and tangent are:
sin(A + B) = sin(A)cos(B) + cos(A)sin(B)
sin(A - B) = sin(A)cos(B) - cos(A)sin(B)
cos(A + B) = cos(A)cos(B) - sin(A)sin(B)
cos(A - B) = cos(A)cos(B) + sin(A)sin(B)
tan(A + B) = (tan(A) + tan(B)) / (1 - tan(A)tan(B))
tan(A - B) = (tan(A) - tan(B)) / (1 + tan(A)tan(B))
How are sum and difference identities used in real-world applications?
+Sum and difference identities are used in various real-world applications, including physics, engineering, and navigation. They are used to calculate wave patterns, electric currents, and distances, as well as to design and optimize systems, such as bridges and buildings.
What are some common mistakes to avoid when working with sum and difference identities?
+Some common mistakes to avoid when working with sum and difference identities include:
1. Forgetting to apply the correct sign when using the difference formulas.
2. Failing to simplify expressions using the sum and difference formulas.
3. Not checking the units and dimensions of the variables when applying the sum and difference formulas.