The quadratic formula is a fundamental concept in algebra, used to solve quadratic equations of the form ax^2 + bx + c = 0, where a, b, and c are constants. This formula, x = (-b ± √(b^2 - 4ac)) / (2a), provides a straightforward method for finding the roots of a quadratic equation, which are essential in various mathematical and real-world applications. Understanding and applying the quadratic formula requires a solid grasp of algebraic principles and the ability to manipulate equations. In this article, we will delve into the quadratic formula, its derivation, and its application through several examples, showcasing its utility and versatility.
Key Points
- The quadratic formula is derived from the process of completing the square, providing a general solution to quadratic equations.
- Each part of the formula, including the coefficients a, b, and c, plays a crucial role in determining the roots of the equation.
- The discriminant, b^2 - 4ac, determines the nature of the roots, whether they are real and distinct, real and equal, or complex.
- Applying the quadratic formula involves substituting the values of a, b, and c into the formula and simplifying to find the roots.
- The quadratic formula has numerous applications in physics, engineering, economics, and other fields, making it a powerful tool for problem-solving.
Understanding the Quadratic Formula

The quadratic formula, x = (-b ± √(b^2 - 4ac)) / (2a), is a direct result of the process of completing the square for the general quadratic equation ax^2 + bx + c = 0. By applying this formula, one can easily determine the roots of any quadratic equation, provided the coefficients a, b, and c are known. The nature of these roots, whether they are real and distinct, real and equal, or complex, is determined by the discriminant, b^2 - 4ac. A positive discriminant indicates two distinct real roots, a zero discriminant indicates two equal real roots, and a negative discriminant indicates two complex roots.
Derivation and Application
The derivation of the quadratic formula involves starting with the general quadratic equation, ax^2 + bx + c = 0, and through a series of algebraic manipulations, including completing the square, one arrives at the formula. The application of the formula is straightforward: substitute the values of a, b, and c into the formula and solve for x. This process yields the roots of the equation, which can then be interpreted in the context of the problem being solved.
| Equation | Values of a, b, and c | Roots |
|---|---|---|
| x^2 + 5x + 6 = 0 | a = 1, b = 5, c = 6 | x = -2, x = -3 |
| x^2 - 4x + 4 = 0 | a = 1, b = -4, c = 4 | x = 2 |
| x^2 + 2x + 2 = 0 | a = 1, b = 2, c = 2 | x = -1 ± i |

Quadratic Formula Examples

Let’s consider five quadratic formula examples to illustrate its application and versatility:
Example 1: Solving a Simple Quadratic Equation
Given the equation x^2 + 4x + 4 = 0, we can use the quadratic formula to find its roots. Here, a = 1, b = 4, and c = 4. Substituting these values into the formula, we get x = (-4 ± √(4^2 - 4*1*4)) / (2*1) = (-4 ± √(16 - 16)) / 2 = (-4 ± √0) / 2 = -4 / 2 = -2. This equation has a repeated root, x = -2.
Example 2: Finding the Roots of a Quadratic Equation with Two Distinct Real Roots
For the equation x^2 - 7x + 12 = 0, using the quadratic formula with a = 1, b = -7, and c = 12, we find x = (7 ± √((-7)^2 - 4*1*12)) / (2*1) = (7 ± √(49 - 48)) / 2 = (7 ± √1) / 2. This gives us two roots: x = (7 + 1) / 2 = 4 and x = (7 - 1) / 2 = 3.
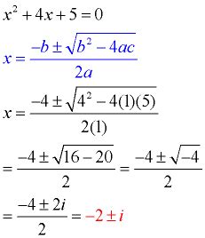
Example 3: Solving a Quadratic Equation with Complex Roots
Considering the equation x^2 + 2x + 5 = 0, where a = 1, b = 2, and c = 5, applying the quadratic formula yields x = (-2 ± √(2^2 - 4*1*5)) / (2*1) = (-2 ± √(4 - 20)) / 2 = (-2 ± √(-16)) / 2 = (-2 ± 4i) / 2. This results in two complex roots: x = -1 + 2i and x = -1 - 2i.
Example 4: Applying the Quadratic Formula in Physics
In physics, the trajectory of a projectile under the sole influence of gravity can be modeled using quadratic equations. For instance, the height h(t) of an object at time t, thrown upwards from the ground with an initial velocity v0, can be described by the equation h(t) = -1/2gt^2 + v0t, where g is the acceleration due to gravity. To find when the object hits the ground (h(t) = 0), we can apply the quadratic formula to solve for t, given the initial velocity and the acceleration due to gravity.
Example 5: Using the Quadratic Formula in Engineering
In engineering, quadratic equations arise in the design and analysis of electronic circuits, mechanical systems, and other applications. For example, the resonance frequency of a series RLC circuit can be found by solving a quadratic equation derived from the circuit’s impedance. The quadratic formula provides a quick and reliable method for calculating the roots of such equations, which are crucial for the design and optimization of these systems.
What is the quadratic formula used for?
+The quadratic formula is used to solve quadratic equations of the form ax^2 + bx + c = 0, where a, b, and c are constants. It provides the roots of the equation, which are essential in various mathematical and real-world applications.
How do you apply the quadratic formula?
+To apply the quadratic formula, substitute the values of a, b, and c into the formula x = (-b ± √(b^2 - 4ac)) / (2a) and solve for x. This process yields the roots of the equation.
What determines the nature of the roots in a quadratic equation?
+The nature of the roots (real and distinct, real and equal, or complex) is determined by the discriminant, b^2 - 4ac. A positive discriminant indicates two distinct real roots, a zero discriminant indicates two equal real roots, and a negative discriminant indicates two complex roots.
In conclusion, the quadratic formula is a powerful and versatile tool in algebra and beyond, offering a straightforward method for solving quadratic equations and finding their roots. Its application is widespread, from simple algebraic manipulations to complex problems in physics, engineering, and other fields. By understanding and mastering the quadratic formula, individuals can enhance their problem-solving skills, logical thinking, and ability to approach and solve complex mathematical and real-world problems.